Home
Forms Catalogue
Meet the Team &
Contact us
Fact Sheets
Case Studies
Sign up
Login
Hot Topics!
Latest News
Form News
EvoVault
EvoShred
EvoSign
« Form Category
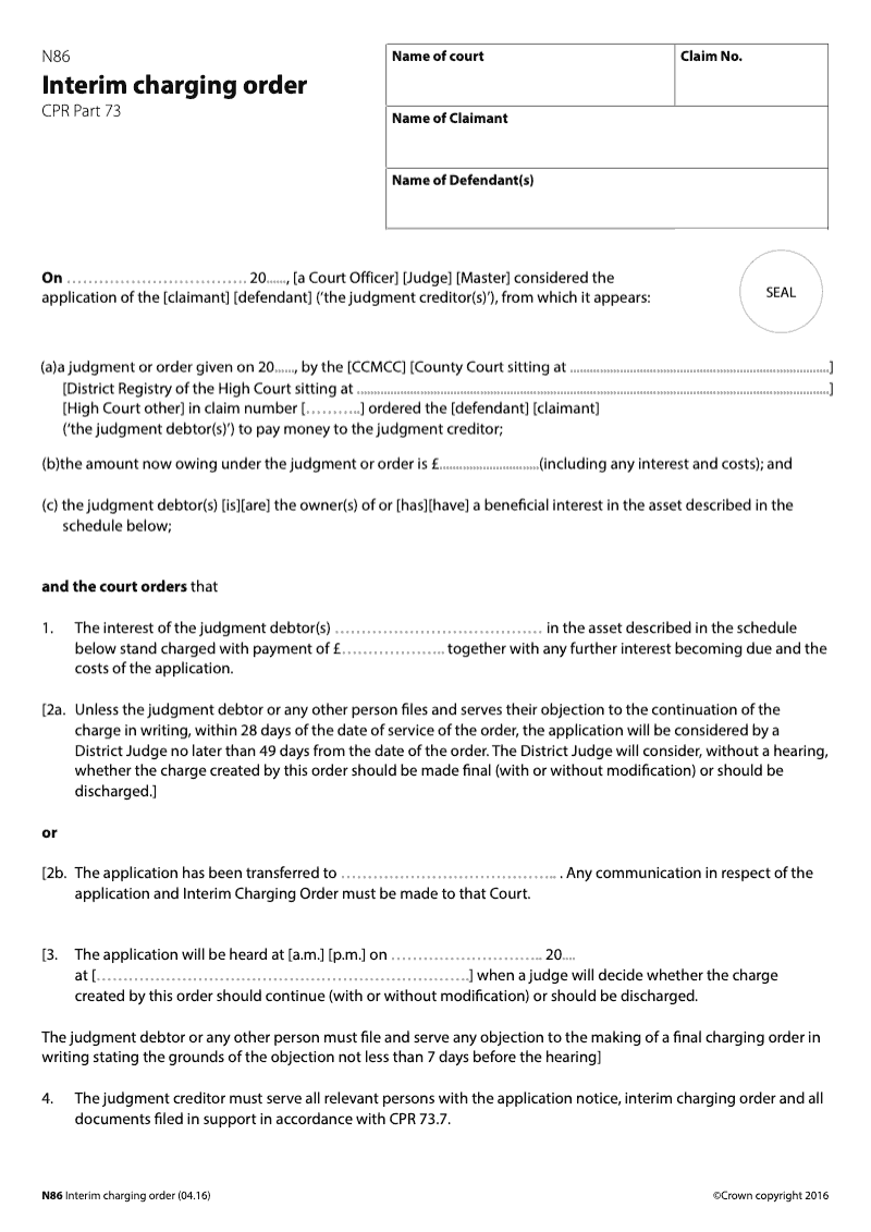
N86
Interim Charging Order (CPR Part 73)
Find out...
Find out...
Who
FormEvo is for
What
FormEvo offers
Where
you can use FormEvo
Why
you should choose FormEvo
How
we integrate FormEvo with our 'data' partners
VIEW
FULL PREVIEW
Call us on
0330 551 9341
for further details or sign up now.
SIGN UP NOW
© Cockerel Software Ltd
. All Rights Reserved.
Terms of Use
Privacy & Cookie Policy
Registered in England 03505184. City Gate, St James's Boulevard, Newcastle upon Tyne, NE1 4JE